In recent years, the attitude of people to their health and the environmental friendliness of housing and food has changed a lot. A whole direction of ecological phytodesign has appeared. From the point of view of indoor floriculture, we can only be interested in neutralizing harmful volatile compounds by plants, which inevitably surround us from day to day.
The information base on the content of harmful volatile substances is regularly updated, we constantly learn about the next harmful compounds that lurk in any item: from face powder, children's toys, to flooring. But if linoleum and vinyl wallpaper smell of these very dangers to varying degrees, then many things only seem harmless to us, because they do not have a pungent smell, although its absence does not mean safety.
How plants purify the air
Phytoremediation is a complex of neutralization and purification from harmful substances and compounds of soil, groundwater and atmospheric air using green plants. The term translated from Greek "phyton" - a plant and Latin "remedium" - to restore. From the point of view of home floriculture, we are interested in air purification.
Plants can directly decompose organic pollutants (pollutants) using their own enzymes to inorganic compounds that accumulate in the plant, or be transferred by the plant to a volatile form and released into the environment in a harmless form.
But there are many plants that we grow on windowsills, and everyone's ability to phytoremediate is expressed differently. Perhaps everyone heard only about the benefits of chlorophytum and ficus...
Scientists' research on plant air purification
The oldest known document is dated September 1989, studies were carried out to determine the usefulness of tropical plants in the event of the creation of a space station, observatory and residential complex on the Moon, and maybe on Mars. Plant 50 have been studied, mainly tropical and subtropical, some from temperate climates. The chemicals selected for the study are benzene, trichloroethylene and formaldehyde.
Looking ahead, I will say right away that all 50 plants have shown the ability to neutralize harmful volatile compounds in the air, to varying degrees.
The National Institute of Food and Agriculture (USA), Department of Tropical Plants and Soil Science, published a paper in 2001 on the Use of Indoor Plants for Indoor Air Purification. The work contains the most common interior items, household items, as well as building materials and the most toxic substances in them. The document also mentions that not all indoor plants are effective in terms of cleaning, but it is advisable to grow those that are the easiest to care for, grow quickly and do not require much.
Here's just a fraction of what we breathe:
Pollutants can accumulate in confined spaces, with particularly high doses and toxicity of volatiles from synthetic building and finishing materials.
Cleaning the air in the apartment
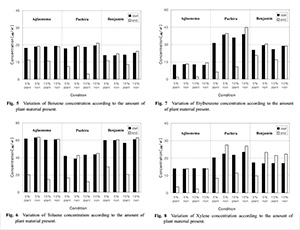
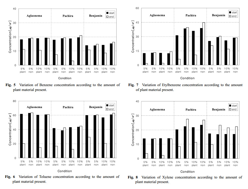
One of the ways to clean home air is to grow indoor plants. Which house flowers are more effective, which are less - information is constantly changing. Let me give you an example: a study of Korean scientists, conducted in 2006, and was presented at the 8th International Congress of Physiological Anthropology in Kamakura (Japan):
Two laboratories - sealed rooms 3.5 by 3.5 m, 2.4 m high, without ventilation, in which the sensors are placed. The first laboratory was filled with plants in pots, the second - control, remained empty. Harmful volatile gases were supplied equally to both rooms. After an hour, the readings were taken - changes in the levels of benzene, toluene, ethylbenzene, xylene and formaldehyde were measured.
To show the role of the quantitative influence of plants, experiments were carried out twice: in the first case, so many plants were placed in the room that they occupied 10% of the total space, in the second - only 5%.
Three plants participated in the experiment:
- Aglaonema brevispathum
- Pachira aquatica
- Ficus benjamin Ficus benjamiana.
What is surprising: all three plants undoubtedly cleaned the air, more efficiently, almost twice as good in those groups where the number of plants was 10% of the area of the premises. But Pahira was more effective in neutralizing ethylbenzene and especially benzene - a decrease of 76.3% compared to the initial level - 15.7 mg/m3 was neutralized in an hour. Aglaonema reduced the level of benzene by 44.7% - neutralized 8 mg/m3, and ficus - by 40%, neutralized about 6 mg/m3 per hour.
In relation to other gases, the effectiveness of plants has changed: Aglaonema coped better with toluene. The picture looked like this: Aglaonema neutralized 45.6 mg/m3 in an hour, ficus - 36.1 mg/m3, Pahira - 31 mg/m3 of toluene - this is 10% of the vegetation area.
With regard to xylene, Aglaonema and Pahira showed the same effectiveness, slightly less - ficus. Reductions were 10.4-11.9 mg/m3. Formaldehyde most effectively removed Aglaonem - 330.8 mg/m3.
Experimenters Jeong-Eun Song, Yong-Shik Kim and Jang Yeul Sohn did not stop there, they checked the "work" of plants to clean from harmful gases in different lighting conditions. During testing, it turned out that the intensity of sunlight seriously affects air purification, but also depends on the type of plant. Two groups placed under intense light and with light scattered light were compared.
The results are as follows: Aglaonema and Pahira cleaned the air much better in more intense lighting, Ficus benjamin almost the same in any lighting.
Modern studies of indoor plants
More recent research on air purification from benzene, toluene, ethylbenzene and xylene using such popular houseplants as Dracaena deremensis and Opuntia microdasys is published in the Journal of Environmental Health Science and Engineering in December 2014.
Experiments were carried out in a chamber with a volume of 30 m3 - this is approximately an average room 4 m long, 3 m wide and 2.5 m high. Three-year-old plants planted in pots with a diameter of 10 cm were used. But a visual assessment of the equivalence of plants is a weak argument, therefore, for clarity of experience, plants were selected for the same leaf surface area: 1380 cm2 for dracena and 1350 cm2 for prickly pear.
Two months before the experiment, the pots lived and got used to the laboratory conditions: a temperature of about 20 ° C ± 3, and a light regime of 12/12 hours of dark/light periods. The plants were watered every three days. All plants were watered one hour before the experiments under the influence of a gas mixture.
The chamber was filled with 16 mg/m3 benzene, 8 mg/m3 toluene, 22 mg/m3 xylene and 22 mg/m3 ethylbenzene. Prickly pear removed all toxic substances completely after 36, 40, 30 and 39 hours, respectively.
For the purity of the experiment, the indicators were compared
-
in
- an empty cell in the
- plant chamber in a
- chamber with pots with soil, from which the plants were removed along with the roots (only the soil was left)
And I must say that prickly pear coped twice as fast and more efficiently than dracena:
Fine prickly pear was able to completely neutralize 2 ppm benzene (6.5 mg/m3) from the air in the test chamber after 48 hours. Dracena deremskaya - after 105 hours.
Healthy indoor flowers
Screening of indoor plants for air purification from volatile organic pollutants was carried out by Dong Sik Young, Stanley J. Case and a group of scientists. They tested twenty-eight of the most common indoor plants for the effectiveness of air purification from aromatic hydrocarbons (benzene and toluene), aliphatic hydrocarbons (octane), halogenated hydrocarbons (trichloroethylene - TCE), and terpenes (a-pinene).
Here are the test results:
As you can see, Hemigraphis alternating Hemigraphis alternata, Ivy common Hedera helix, Hoya beautiful Hoya carnosa, and Asparagus densely flowered Asparagus densiflorus - showed the greatest efficiency in removing all pollutants. Tradescantia pallid tradescantia pallida has shown great efficiency in removing four of the five volatile compounds (benzene, toluene, trichloroethylene, and a-pinene).
As you can see, some plants are more effective at removing some carcinogens, and less effective at removing others. Therefore, the more diverse the plants on your windowsills, the more there are, and the healthier they are, the cleaner the air in your home. The number and health of plants are important for the reason that the air-cleaning capacity of plants is interconnected with a large number of stomata on the leaves.
Recommendations from rukodelie.net/plants: in order for the air in your house to become significantly cleaner, you need at least three medium plants (in a pot with a diameter of 20 cm) per apartment with an area of approximately 55-56 sq. m. If your apartment has recently been renovated or new furniture has been purchased, you will need about 20 indoor plants (4-5 per room) to neutralize harmful fumes that will be actively released for another 6-12 months.
Returning to the NASA study, I consider it necessary to draw your attention to this moment. The first studies proved all the usefulness of indoor plants, but during the tests, scientists were interested in the question of leaf defoliation, is it really only plant leaves that purify the air? Therefore, NASA scientists conducted a second study and received very interesting results.
The experience involved Dracena marginata:
- ordinary plants in pots, with a developed crown
- plants in pots (with leaves) covered the soil with a thick layer of gravel
- dracene cut off all the leaves, left hemp up to 5 cm tall, the soil in the pot is not closed
- control pots with earth (without roots)
The results of the experiments showed that plant roots and associated microorganisms, as a mini-ecosystem, are the main cause of chemical purification, at least in this study! This is not surprising, because the cut plant continued to function - after a week it already grows new shoots, and after three it has a small crown.
Another test showed that even within the same genus of plants, different species clean the air differently:
- Fragrant dracena Dracaena fragrans "Mass Cane"
- Chrysanthemum pot
- Gerber Jameson Gerbera jamesonii
- Dracena derem variety Varnekei Dracena deremensis "Warneckei"
- Ficus benjamin Ficus beniamina
Please note: Dracena is fragrant - significantly exceeds its sister Dracena Deremskaya in air purification efficiency.
Best indoor plants for cleaning the air
- Aglaonema curly Aglaonema crispum
- Aglaonema brevispathum
- Adiantum venerine hair Adiantum capillus-veneris
- Alocasia macrorrhizos
- Aloe Vera
- Anthurium André Anthurium andraeanum
- Araucaria heterophylla
- Asparagus densiflorus
- Asparagus setaceus
- Aspidistra elatior high
- Dwarf banana Musa acuminata
- Begonia everlasting Begonia Semperflorens
- Hemigraphis alternating Hemigraphis alternata
- Fragrant geranium Pelargonium graveolens
- Gerber Jameson Gerbera jamesonii
- Guzmania guzmania
- Dendrobium Dendrobium
- Yellowish dipsis Dypsis lutescens (Chrysalidocarpus Chrysalidocarpus)
- Dieffenbachia maculata
- Dracena derema Deacaena dermensis
- Fragrant Dracaena fragrans
- Kalanchoe Blossfeldiana
- Calthea makoyana
- Calathea roseopicta
- Clivia cinnabar Clivia miniata
- Codieum variegatum
- Liriope spicata
- Maranta white-veined Maranta leuconeura
- Monstera deliciosa
- Nephrolepis exaltata
- Nephrolepis obliterate
- Opuntia microdasys
- Opuntia stricta
- Pachira aquatica
- Pachira macrocarpa
- Peperomia clusiifolia
- Hedera helix common ivy
- Polyscias fruticosa
- Poinsettia or Euphorbia pulcherrima
- Rapis tall Rhapis excels
- Rhodedendron simsii rhododendron
- Ruellia tuberosa
- Sansevieria Trifasciata
- Syngonium podophyllum
- Spathiphyllum wallisii
- Tradescantia pallidum tradescantia pallida
- Phalaenopsis phalaenopsis
- Ficus benjamina
- Ficus binnendika Ficus binnendijkii "Alii"
- Ficus rubberiferous (elastic) Ficus robusta
- Philodendron erubescens
- Philodendron selloum
- Philodendron domesticum philodendron
- Philodendron hederaceum
- Date Robelena Phoenix roebelenii
- Fittonia albivenis
- Chamedorea seifrizii
- Chamedorea elegans
- Chlorophytum comosum crested
- Howea belmoreana
- Hoya beautiful Hoya carnosa
- Homalomena Wallace Homalomena wallisii
- Chrysanthemum morifolium
- Cyclamen persicum
- Cissus rhombolosus Cissus rhombifolia
- Schefflera arboricola
- Scheffler's most elegant Schefflera elegantissima
- Schlumberger Schlumbergera
- Epipremnum aureum golden
- Aechmea fasciata
This is just a list of plants that have been studied, and have shown some or quite significant effectiveness in neutralizing harmful vapors in the air. Speaking by families, the most promising are Aroid, Palm, Asparagus.
Conclusions
Grow indoor plants, among the 70 species listed, you can find plants for every taste and any complexity of cultivation. The more varied the vegetation in your home, the better, provided the plants are healthy and regularly wiped clean of dust. If you are new to floriculture, I strongly advise you to start by choosing fragrant Dracena, Ficus benjamin or Monstera as the most unpretentious and affordable.
Natalya Rusinova







